Abstract
Introduction: Acute lymphoblastic leukemia (ALL) is the most common malignancy of childhood, with a current incidence of 3,000 cases annually. Incremental alterations in treatment over time have resulted in overall survival rates that now exceed 90%. Although minor differences exist between ALL treatment protocols from different cooperative groups, risk-stratified treatment for ALL is generally standard across the country. As more has been understood about ALL biology and outcomes, treatments have been further risk stratified to optimize outcomes for higher risk individuals while minimizing toxicities for those with more favorable disease characteristics. With the improvements in outcome for ALL, cost of care is a critical component and financial toxicity for patients and society requires evaluation.
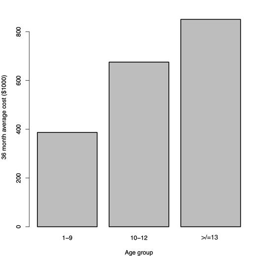
Methods: Using commercial insurance data from the OptumLabs ® Data Warehouse, a cohort of 1941 ALL patients was identified, aged 1-30 years and diagnosed between 2000 and 2017 in the United States. ALL diagnosis was confirmed based on ICD-9 and ICD-10 diagnostic codes, in combination with bone marrow and lumbar puncture procedure codes within 14 days of diagnosis. Individuals were followed up to 36 months from diagnosis. Mean monthly and cumulative costs were computed for the initial 8 months of therapy and for 36 months from diagnosis, as were mean number of inpatient and outpatient days. Costs were further broken down by the types of services provided. All results were stratified by age group (1-9 years, 10-12 years, ≥13 years) as a proxy for risk group, with the younger group most consistent with standard risk disease and the older groups indicating high risk and very high risk disease, respectively.
Results: Among the 1941 identified ALL patients (1-9 years, 1233; 10-12 years, 162; ≥13 years, 546), 44% were female, 51% were white, median age at diagnosis was 6 years (interquartile range 3-14 years) and 941 of enrolled patients had continuous data through 36 months. Mean cost of care over the approximate 3 years of therapy was $537,000, with approximately 58% of costs incurred within the initial intensive 8 months of therapy. Mean cost was highest among the ≥13 year age group, both for the initial 8 months of therapy ($487,000, 95% CI $449,300-530,400)), as well as over the 36 months following diagnosis ($850,000, 95% CI $778,400-937,100) (Figure). This was reflective of the highest mean number of inpatient days among the ≥13 year age group (88.1 days over 36 months, 95% CI 82.1-94.9) compared to the 10-12 year group (73.2 days, 95% CI 64.3-85.1) and the 1-9 year group (47.5 days, 95% CI 45.2-50.9). Mean number of outpatient visits over 36 months was not significantly different between 1-9 and 10-12 year age groups but was significantly higher among the ≥13 year age group compared with the 1-9 year group. Thirty-six month survival varied by age group and was highest among the 1-9 year group (95.9%, 95% CI 94.6-97.2) compared with the 10-12 year group (90.5%, 95% CI 85-4-95.8) and the ≥13 year group (79.6%, 95% CI 75.8-83.6).
Conclusions: This robust real-world cost analysis shows for the first time that the average cost of ALL care in the current treatment era, including inpatient and outpatient data, is more than $500,000. We showed that the cost of care is highest among the oldest pediatric age group, indicating increasing cost with increased therapeutic intensity. This study provides a valuable benchmark that can be used to analyze the financial toxicity of ALL therapy on patients and families and can be re-assessed over time as novel therapeutics are introduced into ALL therapy.
No relevant conflicts of interest to declare.
